Chapter 02. 기초통계_심화과정
가설검정(Hypothesis Testing)
가설검정은 ‘데이터가 어떤 주장(가설)을 지지하는가?’를 검증하는 통계적 절차이다.
표본에서 얻은 정보를 이용해 모평균, 모비율, 두 집단 간 평균 또는 비율의 차이를 판단하는 데 사용한다.
1. 가설검정과 유의수준
가설의 구성
가설은 크게 두 가지로 구성된다.
1) 귀무가설(H₀, Null Hypothesis)
- 기존 주장, 변화가 없다는 가정
- 연구자가 부정하고 싶은 가설
- 예) 백신 효과가 없다 (μ = 0), 두 평균의 차이가 없다 (μ₁ = μ₂)
2) 대립가설(H₁, Alternative Hypothesis)
- 연구자가 주장하고 싶은 내용
- 예) 백신 효과가 있다 (μ ≠ 0), 두 평균이 다르다 (μ₁ ≠ μ₂)
2. 오류의 종류
제1종 오류(Type I Error)
- H₀이 참인데 기각함
- 잘못된 기각
- 발생 확률 = 유의수준 α
제2종 오류(Type II Error)
- H₀이 거짓인데 기각하지 않음
- 잘못된 유지
- 발생 확률 = β
3. 유의수준(α) 개념
- 주로 0.05 또는 0.01 사용
- “H₀이 맞는데도 틀렸다고 판단할 확률을 얼마나 허용할 것인가”
- 유의수준이 작을수록 보수적 판단
4. 검정통계량과 기각역
- 검정통계량 Z 또는 T 계산 → 기각역과 비교
- 기각역에 들어가면 H₀ 기각
- 빠져 있으면 H₀ 채택(기각하지 못함)
2. 단일 표본에 대한 가설검정
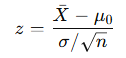
A. 모평균 검정 (모분산을 아는 경우 → Z검정)
가설 예시
H₀: μ = μ₀
H₁: μ ≠ μ₀ (양측)
검정통계량

기각 기준
- |z₀| ≥ zᵅ/₂ → H₀ 기각
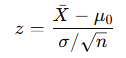
✔ 예시: 커피 카페인 함량 검정
표기: 140mg
측정: 138mg
표준편차: 15
n=100
z=−1.3333
zᵅ/₂ = 1.96 → 기각 불가 →
👉 “140mg이라고 볼 수 있다”
B. 모평균 검정 (모분산 모름 → t검정)

자유도 df = n−1
표본 수가 적을 때 필수
C. 단일 모비율 검정(Z검정)

예시
A백신 효과 ≥ 80% 주장
조사결과 78%

3. 두 개의 표본에 대한 가설검정(평균 비교)
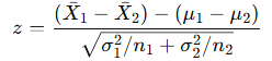
A. 모분산을 아는 경우 — Z검정

예시
모집단1: 35점, σ₁²=8
모집단2: 32점, σ₂²=6
→ z₀ = 6.188 > 1.96 → H₀ 기각
👉 “두 집단 평균은 다르다”
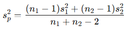
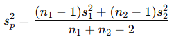
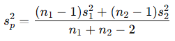
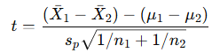
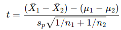
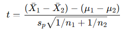
B. 모분산 모름(소표본) — t검정(등분산 가정)
합동분산

검정통계량

C. 대응표본 t-test (paired test)
같은 사람/쌍 비교 시 사용
전-후 변화 분석 등

4. 두 모비율의 차이 검정

* 이 글은 제로베이스 데이터사이언스 파트타임 스쿨의 강의 자료 일부를 발췌하여 작성되었습니다.
💡 생각 정리
통계적 가설검정은 표본 데이터를 기반으로 모수를 판단하는 절차이며, ‘귀무가설을 기각하는가?’에 초점을 둔다는 점이 핵심이다.
검정 과정에서 가장 중요한 것은 유의수준을 올바르게 이해하고, 검정통계량이 기각역에 포함되는지를 올바르게 해석하는 것이다.
또한 문제 상황에 따라 단일 표본인지, 두 표본인지, 모분산을 아는지 모르는지, 대응표본인지 독립표본인지 등을 정확히 구분해야 한다.
이 구분이 틀리면 검정 방법 전체가 잘못되므로 ‘상황에 맞는 검정 방법 선택’이 가장 중요한 판단 포인트이다.
🚀 적용점
- A/B 테스트: 두 집단 평균 또는 클릭률 차이 검정
- 프로모션 효과 검증: 이벤트 전후 소비 패턴 비교(대응표본)
- 신약 효과 검증: 대조군 vs 실험군 평균 비교
- 품질 관리: 불량률이 기준 이하인지 검정(모비율)
- 사용자 행동 데이터 분석: 가입 전/후 행동 차이 비교
'데이터' 카테고리의 다른 글
| 제로베이스 데이터사이언스 스쿨 - Part 04. 기초 통계-14 (0) | 2025.11.21 |
|---|---|
| 제로베이스 데이터사이언스 스쿨 - Part 04. 기초 통계-13 (0) | 2025.11.20 |
| 제로베이스 데이터사이언스 스쿨 - Part 04. 기초 통계-11 (0) | 2025.11.18 |
| 제로베이스 데이터사이언스 스쿨 - Part 04. 기초 통계-10 (0) | 2025.11.17 |
| 제로베이스 데이터사이언스 스쿨 - Part 04. 기초 통계-9 (0) | 2025.11.16 |