Chapter 01. 기초 수학
∑ 시그마와 계차수열 (Sigma & Difference Sequence)
1. 시그마(Σ)란?

예시로, 다음 수열의 합을 구할 수 있다.
2 + 4 + 6 + 8 + 10 + 12 + 14 + 16 + 18 + 20

결과: 110
2. 등비수열의 시그마 표현
공비가 3인 수열 {2, 6, 18, 54, 162, ...}의 합을 시그마로 표현하면,

- n번째 항까지의 합을 의미하며, 이전 강의의 등비수열 합 공식과 연결된다.
파이썬 실습 – 시그마 표현 구현
(1) 등차수열 합 구하기
total = 0
for k in range(1, 11):
total += 2 * k
print(total)
출력: 110
(2) 등비수열 합 구하기
total = 0
for k in range(1, 9):
total += 2 * (3 ** (k - 1))
print(total)
출력: 6560
💡 반복문을 통해 수열의 합을 계산하는 과정이 시그마의 개념을 그대로 구현한 형태이다.
3️⃣ 계차수열이란?
계차수열(차수열)이란, 어떤 수열의 인접한 두 항의 차이로 이루어진 또 다른 수열을 말한다.
예시:
| 항 번호 | aₙ | 두 항의 차이(bₙ = aₙ₊₁ - aₙ) |
| 1 | 0 | – |
| 2 | 3 | 3 |
| 3 | 8 | 5 |
| 4 | 15 | 7 |
| 5 | 24 | 9 |
| 6 | 35 | 11 |
➡️ 계차수열 {bₙ} = {3, 5, 7, 9, 11, …} → 등차수열(공차 = 2)
💡 계차수열은 ‘수열의 변화율’을 나타내며, 일반항을 구할 때 활용된다.
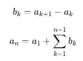
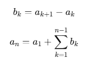
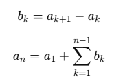
4. 계차수열을 이용한 일반항 구하기
수열 {aₙ}의 일반항은 다음 관계로부터 구할 수 있다.

즉, 계차수열의 합이 원래 수열의 증가량을 결정한다.
예시 수열:
{aₙ} = {3, 7, 13, 21, 31, 43, 57}
| 항 번호 | aₙ | 차이 bₙ |
| 1 | 3 | – |
| 2 | 7 | 4 |
| 3 | 13 | 6 |
| 4 | 21 | 8 |
| 5 | 31 | 10 |
| 6 | 43 | 12 |
| 7 | 57 | 14 |
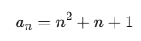
➡️ {bₙ} = {4, 6, 8, 10, 12, 14} → 공차 2
➡️ 따라서,

5. 계차수열 파이썬 실습
다음 수열의 n번째 항을 구하는 프로그램을 작성한다.
a = [3, 7, 13, 21, 31, 43, 57]
n = int(input("n번째 항을 입력하세요: "))
if n <= len(a):
print(f"{n}번째 항은 {a[n-1]}입니다.")
else:
print(f"{n}번째 항은 {n**2 + n + 1}입니다.")
입력값 n=8 → 출력: 8번째 항은 73입니다.
💡 계차수열의 규칙을 일반항으로 구현하면, 입력에 따라 자동 계산이 가능하다.
* 이 글은 제로베이스 데이터사이언스 파트타임 스쿨의 강의 자료 일부를 발췌하여 작성되었습니다.
💡 생각 정리
이번 강의는 수열 간의 관계를 한 단계 더 깊이 이해할 수 있는 시간이었다.
특히, 시그마(Σ)를 통해 덧셈의 반복 구조를 공식화하고, 계차수열을 통해 규칙이 숨은 수열의 본질적 구조를 찾아내는 사고가 인상적이었다.
또한 파이썬을 통해 이를 코드로 구현하면서 수학의 반복 구조(∑) 와 변화율 개념(Δ) 이 프로그래밍의 반복문과 동일하다는 점을 체감했다.
🚀 적용점
프로그래밍 활용
- 시그마 연산 → for문 또는 sum()으로 구현
- 계차수열 → list comprehension으로 차이 계산 가능
a = [0, 3, 8, 15, 24, 35]
b = [a[i+1] - a[i] for i in range(len(a)-1)]
print(b) # [3, 5, 7, 9, 11]
- 수학적 응용
- 시그마: 등차/등비수열의 합, 누적 합 계산
- 계차수열: 도함수 개념, 패턴 분석
- 시각화 확장
- matplotlib을 이용해 계차 변화 추이를 그래프로 표현
- 데이터 패턴 분석이나 회귀 모델링의 기초로 확장 가능
👉 이번 강의는 단순한 수열을 넘어서,
“변화율과 누적 합의 사고”를 수학과 코드로 연결한 통합 학습이었다.
'데이터' 카테고리의 다른 글
| 제로베이스 데이터사이언스 스쿨 - Part 03. 기초 수학-11 (0) | 2025.10.28 |
|---|---|
| 제로베이스 데이터사이언스 스쿨 - Part 03. 기초 수학-10 (0) | 2025.10.27 |
| 제로베이스 데이터사이언스 스쿨 - Part 03. 기초 수학-08 (0) | 2025.10.26 |
| 제로베이스 데이터사이언스 스쿨 - Part 03. 기초 수학-07 (0) | 2025.10.24 |
| 제로베이스 데이터사이언스 스쿨 - Part 03. 기초 수학-06 (0) | 2025.10.23 |