Chapter 01. 기초 수학
등비수열 (Geometric Sequence)
1. 등비수열이란
연속된 두 항의 비율(공비, r) 이 일정한 수열을 말한다.
2, 6, 18, 54, 162, 486, 1458, 4374, ...
→ 각 항이 이전 항의 3배이므로, 공비 r=3r = 3
| 항 번호 | 값 | 이전 항 대비 율 |
| a₁ | 2 | – |
| a₂ | 6 | ×3 |
| a₃ | 18 | ×3 |
| a₄ | 54 | ×3 |
💡 등차수열이 ‘차이’를 일정하게 유지한다면, 등비수열은 ‘비율’을 일정하게 유지한다.
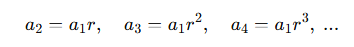
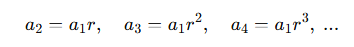
2. 등비수열의 일반항
공비가 일정하므로,

따라서 일반항 공식은

예시
| 수열 | 공비 r | 일반항 |
| 2, 4, 8, 16, 32, 64 | 2 | aₙ = 2 × 2⁽ⁿ⁻¹⁾ |
| 5, 15, 45, 135, 405, 1215 | 3 | aₙ = 5 × 3⁽ⁿ⁻¹⁾ |
3. 등비중항
연속된 세 항 에서 가운데 항은

즉, 가운데 항은 양옆 항의 기하평균(Geometric Mean) 이다.
예시:
(4×64)=162⇒an=16
💡 등차수열에서는 가운데 항이 산술평균이었다면,
등비수열에서는 가운데 항이 기하평균이라는 차이가 있다.
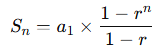
4. 등비수열의 합
공비 r≠1 일 때,

예시 계산
| 수열 | a1 | r | n | 합 |
| 2, 4, 8, 16, 32, 64 | 2 | 2 | 6 | 126 |
| 5, 15, 45, 135, 405, 1215 | 5 | 3 | 6 | 1820 |
5. 파이썬으로 등비수열 일반항 구하기
a1 = 2
r = 2
n = int(input("n번째 항을 입력하세요: "))
an = a1 * (r ** (n - 1))
print(f"{n}번째 항은 {an}입니다.")
→ 입력값 n=5라면 출력: 5번째 항은 32입니다.
공식을 그대로 코드화하면, 어떤 n이라도 빠르게 계산 가능하다.
6. 파이썬으로 등비수열 합 구하기
a1 = 5
r = 3
n = int(input("n번째 항까지의 합을 구할 n을 입력하세요: "))
Sn = a1 * (1 - r**n) / (1 - r)
print(f"{n}번째 항까지의 합은 {int(Sn)}입니다.")
→ 입력값 n=6이라면 출력: 6번째 항까지의 합은 1820입니다.
수식을 코드로 옮기면 반복문 없이도 빠르게 누적 합을 구할 수 있다.
* 이 글은 제로베이스 데이터사이언스 파트타임 스쿨의 강의 자료 일부를 발췌하여 작성되었습니다.
💡 생각 정리
이번 강의에서는 “곱셈의 규칙으로 성장하는 수열”이라는 등비수열의 특징을 수학적 공식과 코드 양쪽에서 함께 다루었다.
공비가 일정하다는 단순한 원리가 실제로는 금융(복리 계산), 물리(감쇠율), 컴퓨터 그래픽(픽셀 스케일) 등 다양한 분야의 근본적 원리로 작용한다는 점이 인상적이었다.
특히 파이썬을 통해 anaₙ과 SnSₙ을 자동 계산하는 과정을 구현하면서, 수학의 추상적인 개념이 프로그래밍 언어를 통해 즉시 시각화되는 경험을 할 수 있었다.
🚀 적용점
- 프로그래밍 실습:
- 등비수열의 공비와 항 개수를 입력받아 전체 수열을 리스트로 출력
- for 문 대신 리스트 컴프리헨션으로 간결하게 작성
a1, r, n = 2, 3, 10
seq = [a1 * (r ** i) for i in range(n)]
print(seq)
→ [2, 6, 18, 54, 162, 486, 1458, 4374, 13122, 39366]
- 수학적 응용:
- 복리 계산: 원금 P, 이자율 r, 기간 n일 때A=P(1+r)nA = P(1 + r)^n
- 감가상각, 데이터 감소율 등에서도 등비수열 구조 활용
- 데이터 시각화 확장:
- matplotlib을 활용해 등비수열의 기하급수적 성장 그래프를 시각화
👉 이번 강의는 “곱셈 규칙의 시각화”를 통해 수학 공식이 코드로, 코드가 데이터로 변환되는 과정을 명확히 체험한 시간이었다.
'데이터' 카테고리의 다른 글
| 제로베이스 데이터사이언스 스쿨 - Part 03. 기초 수학-10 (0) | 2025.10.27 |
|---|---|
| 제로베이스 데이터사이언스 스쿨 - Part 03. 기초 수학-09 (0) | 2025.10.27 |
| 제로베이스 데이터사이언스 스쿨 - Part 03. 기초 수학-07 (0) | 2025.10.24 |
| 제로베이스 데이터사이언스 스쿨 - Part 03. 기초 수학-06 (0) | 2025.10.23 |
| 제로베이스 데이터사이언스 스쿨 - Part 03. 기초 수학-05 (0) | 2025.10.22 |